
Chiêu tạo giá trị ảo cho condotel
Sở hữu ngôi nhà thứ hai bên bờ biển thơ mộng, trong một cánh rừng hay trên sườn đồi trong một khu nghỉ dưỡng đẳng cấp có đầy đủ tiện ích đang là mơ ước của rất nhiều người. Nắm bắt được nhu cầu này, từ năm 2015 khi nền kinh tế bước vào giai đoạn phục hồi mạnh mẽ, thị trường bất động sản ấm lên thì cũng là lúc nhiều doanh doanh nghiệp trong và ngoài nước đầu tư phát triển phân khúc bất động sản căn hộ khách sạn (condotel) và biệt thự nghỉ dưỡng.
Sau đó Việt Nam cũng đã có một giai đoạn phát triển bùng nổ condotel vào năm 2016 và 2017, với gần 40.000 sản phẩm được bán ra, tương đương tổng số lượng căn hộ của TP.HCM bán ra trong một năm. Điều này cho thấy số lượng condotel được tung ra thị trường lớn cỡ nào.
Lịch sử phát triển của loại hình bất động sản cho thấy, cách đây khoảng 15-20 năm, condotel đã phát triển nở rộ tại Địa Trung Hải và châu Âu. Tương tự, cách đây 5-10 năm, Thái Lan cũng từng bùng nổ condotel. Hiện nay, tại các quốc gia này, loại hình condotel chỉ còn phát triển cầm chừng. Những người sở hữu biệt thự nghỉ dưỡng hay condotel trên thế giới phần lớn là những người giàu thực sự. Họ có nhu cầu sở hữu căn nhà thứ hai để phục vụ cuộc sống của mình chứ không phải là một kênh đầu tư.
Tại Việt Nam, nơi mức thu nhập bình quân đầu người cả nước mới chỉ 2.400 USD/người/năm, tức là chỉ tương đương với giá trung bình 1m2 condotel đang bán trên thị trường. Ngay thu nhập bình quân của cả người dân sống tại nơi có thu nhập cao nhất cả nước là TP.HCM cũng mua chưa được 3m2 một căn hộ nghỉ dưỡng. Tuy nhiên, điều kỳ lạ là hàng chục nghìn condotel vẫn được bán “đắt như tôm tươi”.
Sự thật, nguyên nhân chính của hiện tượng “kỳ lạ” này là do phần lớn khách hàng mua condotel của Việt Nam không phải phục vụ nhu cầu nghỉ dưỡng mà để đầu tư. Chính sách cam kết lợi nhuận từ 12-15%/năm, ngân hàng hỗ trợ đến 80% giá trị condotel và với mức lãi suất còn thấp hơn mức cam kết của doanh nghiệp đã hấp dẫn họ. Rất nhiều khách hàng mua condotel không chỉ 1, 2 căn mà hàng chục, thậm chí hàng trăm nhằm mục đích đầu tư kiếm lời.
Sau vụ đổ vỡ cam kết lợi nhuận của ông chủ Cocobay Đà Nẵng, một khách hàng “siêu lớn” của dự án này mới chia sẻ trên báo chí rằng ông đã đầu tư đến 600 tỉ đồng vào dự án này, trong đó vay ngân hàng tới 402 tỉ đồng, với lãi suất 8%/năm (18 tháng đầu), giai đoạn sau là 10,4%/ năm. Mức lãi suất mà NH TM Sài Gòn - Hà Nội (SHB) cho ông vay thấp hơn nhiều so với lợi nhuận cam kết của Empire Group là 12%, trong 8 năm.
Có lẽ, ông chủ của Xúc xích Đức Việt không phải là trường hợp cá biệt. Nhiều nhà đầu tư khác chắc chắn cũng được hưởng cơ chế đặc biệt này. Nếu mọi chuyện suôn sẻ đúng như cam kết của chủ đầu tư thì chỉ sau 10 năm, người mua codotel sẽ được sở hữu một bất động sản có giá trị cao với số tiền đầu tư ban đầu rất nhỏ.
Về phía các doanh nghiệp đầu tư phát triển condotel họ cũng có tính toán riêng của mình. Thông thường condotel thường nằm ở vị trí xa trung tâm nên giá đất vẫn còn tương đối thấp. Trong khi giá bán condotel thường ở mức rất cao. Condotel ở Cocobay Đà Nẵng có giá từ 40-70 triệu đồng/m2, mức giá này cao gấp 3-4 lần giá thành sản phẩm. Đây cũng là mức giá cao gấp hàng chục lần đất nền thổ cư quanh khu vực này vào thời điểm 2015-2017.
Như vậy, chủ đầu tư đã định giá condotel khá cao để có thể bù lại trả cho phần lợi nhuận cam kết. Chủ đầu tư coi như “mượn vốn” của khách hàng để kinh doanh. Trong trường hợp kinh doanh hiệu quả thì chủ đầu tư có thể “tay không bắt giặc” tìm kiếm lợi nhuận siêu khủng từ mô hình này.
Đi tìm giá trị thật của condotel

Người mua condotel hay biệt thự nghỉ dưỡng có thể với 2 mục đích. Đối tượng thứ nhất người mua condotel như là ngôi nhà thứ hai để có nơi nghỉ ngơi vào dịp cuối tuần, ngày lễ và tận hưởng cuộc sống giàu sang. Đối với đối tượng này thì lợi nhuận của condotel lại không quá quan trọng. Những trường hợp này có lẽ không nhiều bởi với số tiền đầu tư đó họ có nhiều lựa chọn khác như việc thuê resort, khách sạn 5 sao ở các nơi phù hợp hơn, đa dạng hơn trong các kỳ nghỉ dưỡng với chi phí rẻ hơn rất nhiều.
Đối tượng thứ hai xem việc mua condotel như là một kênh đầu tư với kỳ vọng lợi nhuận cao. Những nhà đầu tư này sẽ quan tâm đến lợi nhuận hơn là nhu cầu nghỉ dưỡng thực sự. Lợi nhuận kỳ vọng có thể là từ các cam kết của chủ đầu tư, từ việc condotel tăng giá trong tương lai, từ việc cho thuê lại căn hộ... Vậy bài toán tài chính đối với việc mua condotel sẽ thế nào?
Đối với trường hợp chủ đầu tư cam kết lợi nhuận 12%/năm, trong 8 năm như tại dự án Cocobay Đà Nẵng và được ngân hàng hỗ trợ vay 80% với lãi suất tối đa chỉ có 10,4%/ năm thì đây rõ ràng là một kênh đầu tư rất tốt. Tuy nhiên, chủ đầu tư của Cocobay Đà Nẵng đã buộc phải tuyên bố mất khả năng chi trả chỉ sau ba năm hoạt động.
Trên thực tế, việc vận hành các condotel rất khó mang lại nhuận trên 12% như cam kết. Do đó, ngay cả khi được chủ đầu tư cam kết lợi nhuận thì nguy cơ “bể kèo” cũng rất cao. Đối với trường hợp chủ đầu tư cam kết lợi nhuận thấp hơn lãi suất ngân hàng hoặc là chia sẻ lợi nhuận thì rủi ro thu về lợi nhuận trong tương lai cực kỳ cao.
Theo bà Đỗ Thị Thu Hằng, Giám đốc bộ phận Nghiên cứu và Tư vấn Savills Hà Nội, với những condotel tại những địa điểm đẹp, chủ đầu tư đủ năng lực, bản thân nhà điều hành có uy tín thì mức độ cam kết 6-10% là có thể đạt được.
Trong khi đó, Bà Trần Thị Mỹ Lộc, Phó tổng giám đốc phụ trách kinh doanh Công ty Vinhomes, cho rằng lợi nhuận trong hoạt động kinh doanh khách sạn chỉ ở mức 5-6%. Bà Lộc cũng nhấn mạnh nếu doanh nghiệp nào đó chào bán sản phẩm condotel phải thuê đơn vị vận hành mà cam kết lợi nhuận lên đến trên 10% là có vấn đề.
Theo số liệu thống kê của Grant Thornton trong báo cáo về thị trường khách sạn cao cấp của Việt Nam thì công suất bình quân cho thuê buồng phòng đối với khách sạn 4 sao của Việt Nam từ 2015 đến 2018 là 52%, công suất khách sạn 5 sao là 71%.
Giá cho thuê buồng phòng khách sạn 4 sao là 75 USD/phòng/đêm, khách sạn 5 sao là 102 USD/phòng/đêm. Như vậy, tổng doanh thu của mỗi buồng phòng hàng năm đối với khách sạn 4 sao là 330 triệu đồng, 5 sao là 647 triệu đồng.
Với các giả định khác như lợi nhuận trước thuế và lãi vay của kinh doanh khách sạn thường ở mức 35%, thuế thu nhập cá nhân 10%, tỷ lệ phân chia lợi nhuận giữa nhà đầu tư và chủ đầu tư condotel là 8:2. Suất sinh lời yêu cầu của nhà đầu tư khoảng 14%/năm, tốc độ tăng giá thuê, lợi nhuận 3%/năm. Với các giả định này thì mức giá hợp lý cho condotel 4 sao vào khoảng 22 triệu đồng/m2, mức giá 5 sao vào khoảng 34 triệu đồng/m2.
BẢNG TÍNH GIÁ MỖI CĂN HỘ CONDOTEL 4 VÀ 5 SAO

Trên đây chỉ là giả định để tính toán giá hợp lý của các condotel, tương đương phòng khách sạn 4 và 5 sao ở mức trung bình. Trên thực tế, có những khách sạn có tỷ lệ khai thác phòng cao hơn, giá tốt hơn và tỷ suất lợi nhuận cao hơn và suất sinh lời yêu cầu thấp hơn mức 14%/năm thì mức giá sẽ cao hơn.
Tuy nhiên, thực tế cũng có rất nhiều khách sạn 4 và 5 sao sẽ không đạt được mức giá đó bởi công suất khai thác phòng thấp hơn và mức giá bán trung bình sẽ thấp hơn, tỷ suất lợi nhuận cũng sẽ thấp hơn. Hiện tại, cũng đang có rất nhiều doanh nghiệp kinh doanh khách sạn bị thua lỗ lớn.
Thống kê cho thấy, vào cuối năm 2018, khách sạn đạt tiêu chuẩn 4 và 5 sao lần lượt có tổng số phòng là 38.170 và 47.905 phòng. Con số này chỉ gấp đôi số lượng condotel hiện nay đang có trên thị trường.
TỔNG NGUỒN CUNG CONDOTEL

Riêng tại các khu vực có nguồn cung condotel lớn như Quảng Ninh, Đà Nẵng, Nha Trang, Phú Quốc thì tổng số lượng condotel hiện đang có trên thị trường lớn hơn tổng lượng khách sạn 4 và 5 sao. Những con số thống kê đó cho thấy hiệu quả của việc kinh doanh condotel là một dấu hỏi rất lớn.
Điều này càng trở nên trầm trọng khi việc thiết kế nhiều condotel, khu vực cảnh quan của dự án hiện nay còn nhiều bất cập. Do đó việc khai thác một cách tối đa công năng, sử dụng hiệu quả diện tích condotel chắc chắn sẽ không cao như việc thiết kế các khách sạn 4 và 5 sao. Các căn condotel có diện tích 50-80 m2, giá thuê phòng có thể chỉ tương đương với căn phòng có diện tích 35-45 m2 tại các khách sạn 4 và 5 sao. Bên cạnh đó, xét về nhu cầu thì có thể khách du lịch cao cấp thường chọn những khách sạn 4-5 sao được thiết kế chuyên biệt cho lưu trú, nghỉ dưỡng hơn là so với condotel.
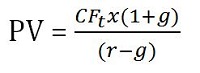
Như vậy, xét về hiệu quả kinh doanh thì chắc chắn condotel sẽ kém xa khách sạn, trong khi tính toán cho thấy giá cả hợp lý bằng phương pháp chiết khấu dòng tiền (*) của khách sạn 4 và 5 sao có diện tích 35-45 m2, cũng chỉ quanh mức 22 đến 34 triệu đồng/m2.
| (*) Áp dụng công thức tính giá trị hiện tại ròng của dòng tiền tăng trưởng với tốc độ không đổi trong tương lại. Theo đó Với trường hợp CF là dòng tiền tăng trưởng đều với tộ tăng trưởng là g, t là vô hạn thì công thức trên sẽ trở thành: Trong đó: •CF1 là lợi nhuận ròng (giả sử không có thay đổi nợ vay, khoản phải thu, phải trả) hay là dòng tiền ròng năm 1; •r là suất sinh lời của vốn chủ sở hữu. Về nguyên tắc khi đầu tư tài sản có rủi ro càng cao thì phần bù rủi ro càng lớn. Đầu tư condotel là một dạng đầu tư hết sức rủi ro. Do vậy, r đòi hỏi thường phải cao hơn 5-6% so với lãi suất đi vay ngân hàng. Trong trường hợp này giả sử suất sinh lời yêu cầu giả định khoảng 14%/năm •g là tốc độ tăng trưởng dài hạn của giá thuê phòng, giả sử cơ cấu về chi phí không đổi đây cũng chính là tăng trưởng của lợi nhuận ròng. Tốc độ tăng trưởng giá thuê phòng của Việt Nam thời gian qua giao động từ 3-5%, một cách thận trọng dài hạn giả sử g tăng khoảng 3%/năm để ước lược tính giá condotel. |
Trong khi đó, giá của condotel hiện nay trung bình khoảng 40 triệu đồng/m2, condotel tại các dự án cao cấp như Grand World có giá từ 80 đến 120 triệu đồng/m2. Với mức giá này thì kỳ vọng với nhuận trên 12% so với vốn đầu tư là điều hoàn toàn bất khả thi.
Condotel có thực sự hấp dẫn để đầu tư?
Việc ông chủ của Empire Group tuyên bố không thể trả nợ buộc phải phá kèo với hơn 1.700 khách hàng và sẵn sàng ra tòa chỉ là một giọt nước làm tràn ly. Từ lâu các chuyên gia đã cảnh báo rủi ro khi đầu tư vào phân khúc này khi mà pháp lý cho condotel chưa rõ ràng.
Bên cạnh đó, hiệu quả của mô hình kinh doanh này cũng chưa được chứng minh trong thực tế, nhiều chủ đầu tư condotel chưa đảm bảo uy tín. Đặc biệt, mô hình tài chính cho thấy mức giá của condotel mà chủ đầu tư đưa ra “quá ảo” và cam kết lợi nhuận không khả thi. Cho đến nay pháp lý của condotel đang là vấn đề gây ra nhiều tranh cãi. Một số địa phương đã cấp sổ đỏ sở hữu dài hạn cho condotel như tại Đà Nẵng đã buộc phải thu hồi và cấp lại sổ 50 năm.
Tiết lộ của lãnh đạo một doanh nghiệp lớn trong lĩnh vực bất động sản nghỉ dưỡng cho biết tại thời điểm đó, gần 10 tỉnh như Khánh Hòa, Kiên Giang, Bình Định, Đà Nẵng, Quảng Ninh đã cho phép sử dụng thuật ngữ “đất ở không hình thành đơn vị ở” để cấp sổ đỏ cho loại hình căn hộ này.
Đây là thuật ngữ “sáng tạo” riêng của nhiều “chuyên gia” và lãnh đạo một số địa phương có condotel phát triển mạnh mà chưa hề có trong quy định của pháp luật. Hiện hàng chục nghìn căn hộ condotel đã được bán cho khách hàng 2-4 năm, nhưng phần lớn trong số đó vẫn chưa được cấp sổ đỏ. Do đó, những quyền lợi của người mua vẫn không được đảm bảo một cách chắc chắn.
Không chỉ rủi ro về mặt pháp lý, những căn hộ không thể cư trú dài hạn này cũng gặp rủi ro khác. Chẳng hạn, nhà đầu tư buộc phải ủy quyền cho chủ đầu tư kinh doanh căn hộ. Do đó, lợi nhuận cao hay thấp phụ thuộc hoàn toàn vào phương án kinh doanh của chủ đầu tư.
Trong khi đó, lợi nhuận ảnh hưởng đến giá bán của căn hộ trong tương lai. Như vậy, condotel rất khó có cơ hội để tăng giá đột biến nếu chủ đầu tư không muốn. Việc thanh khoản của condotel chắc chắn cũng không dễ dàng bởi đây là thị trường rất kén khách và thiếu sự cạnh tranh.
Hiện nay, nhiều người cho rằng giá condotel ở Việt Nam vẫn còn rất rẻ so với các nước trong khu vực và trên thế giới. Tuy nhiên, về mặt tài chính giá condotel phụ thuộc vào dòng tiền mà nó mang lại trong tương lai và chi phí vốn ở từng nền kinh tế.
Từ các số liệu thực tế cho thấy giá cả của phần lớn condotel hiện nay đang quá cao so với giá trị của nó. Chính Empire Group cũng cũng thừa nhận việc vận hành khai thác tình hình thực tế của thị trường cho thấy kết quả hai năm đầu đều lỗ, còn sau đó có lãi chỉ 5-6% mỗi năm. Đây là mức lợi nhuận quá thấp so với những rủi ro mà nhà đầu tư condotel phải đối mặt.
Ông Luis Mesquita De Melo, Phó Chủ tịch kiêm Giám đốc Pháp chế Asian Coast Development, khẳng định mô hình condotel rất khó thành công với nhà đầu tư tiềm lực tài chính kém. Tại Thái Lan và Bali (Indonesia), các quốc gia này đã từng trải qua nỗi đau condotel trên bờ biển của mình. Việt Nam rất có thể phải nếm trải nỗi đau này trong tương lai. Đây chính là lời cảnh tỉnh cho những nhà đầu tư, chủ đầu tư đang lao vào cuộc đua condotel.
Tuy nhiên, không phải tất cả các condotel đều không thể thành công. Trong nền kinh tế chia sẻ chủ đầu tư và nhà đầu tư “góp vốn” để kinh doanh dịch vụ lưu trú, nghỉ dưỡng đầy tiềm năng ở Việt Nam là xu hướng tất yếu. Dự án Hyatt Regency Danang bán condotel rất chạy dù không cam kết lợi nhuận. Đây là dự án hiếm hoi có giá condotel tăng mạnh do chủ đầu tư khai thác một cách hiệu quả. Tuy nhiên, chỉ có những dự án condotel ở những địa điểm nổi tiếng và khách du lịch thường xuyên quay trở lại, chủ đầu tư uy tín và vận hành tốt thì condotel mới có lợi nhuận khả quan.


.png)